OpenSourceMalaria:GSK Triazolourea Singleton: Difference between revisions
From OpenWetWare
Jump to navigationJump to search
Jim Cronshaw (talk | contribs) No edit summary |
Jim Cronshaw (talk | contribs) No edit summary |
||
| Line 1: | Line 1: | ||
{{OSDDMalaria}} | {{OSDDMalaria}} | ||
==GSK Triazolourea Singleton== | |||
[[Image:3synthesis.png]] | The triazolourea singleton has the following structure: | ||
[[Image:Triazolourea.PNG|thumb|center|180px|GSK Triazolourea Singleton: TCMDC 134395]] | |||
(detail goes here) | |||
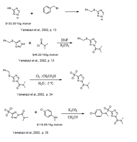
The proposed synthesis for this compound is below: | |||
[[Image:3synthesis.png|thumb|center|450px|Proposed synthesis for the above compound]] | |||
Step 3 in particular needs attention and since this is an open project, anyone can contribute to improving this synthesis. The following, from (insert citation) is a possible alternative. Any input is greatly appreciated. | |||
Revision as of 04:01, 7 February 2012
GSK Triazolourea Singleton
The triazolourea singleton has the following structure:
(detail goes here)
The proposed synthesis for this compound is below:

Step 3 in particular needs attention and since this is an open project, anyone can contribute to improving this synthesis. The following, from (insert citation) is a possible alternative. Any input is greatly appreciated.