IGEM:Imperial/2010/Mass Action
Model based on Law of Mass Action (Weeks 6 - 8)
Michaelis Menten kinetics does not apply
We cannot use Michaelis-Menten kinetics because of its preliminary assumptions, which our system does not fulfil. These assumptions are:
- [math]\displaystyle{ V_{max} }[/math] is proportional to the overall concentration of the enzyme.
But we are producing enzyme, so [math]\displaystyle{ V_{max} }[/math] will change! Therefore, the conservation [math]\displaystyle{ E_0 = E + E_S }[/math] does not hold for our system.
- Substrate >> Enzyme.
Since we are producing both substrate and enzyme, we have roughly the same amount of substrate and enzyme.
- Enzyme affinity to substrate has to be high.
Therefore, the model above is not representative of the enzymatic reaction. As we cannot use the Michaelis-Menten model we will have to solve from first principle (which just means writing down all of the biochemical equations and solving for these in Matlab).
Change of output
Instead of GFP, it is now dioxygenase acting on catechol (activating it into colourful form). Catechol will be added to the bacteria manually (i.e. the bacteria will not produce Catechol). Hence, in our models dioxynase is going to be treated as an output as this enzyme is the only activator of catechol in our system. This means that the change of catechol into its colourful form is dependent on dioxygenase concentration.
Models
Model preA: Simple Production of Dioxygenase
This model includes transcription and translation of the dioxygenase. It does not involve any amplification steps. It is our control model against which we will be comparing the results of other models.
Model A: Activation of Dioxygenase by TEV enzyme
The reaction can be rewritten as:
[math]\displaystyle{ {TEV} + {split Dioxygenase} \rightleftarrows {TsD} \rightarrow {TEV} + {Dioxygenase} }[/math]
This is a simple enzymatic reaction, where TEV is the enzyme, Dioxygenase the product and split Dioxygenase the substrate. Choosing [math]\displaystyle{ k_1, k_2, k_3 }[/math] as reaction constants, the reaction can be rewritten in these four sub-equations:
- [math]\displaystyle{ \dot{T} = -k_1[T][sD] + (k_2+k_3)[TsD] + s_T - d_T[T] }[/math]
- [math]\displaystyle{ \dot{sD}= -k_1[T][sD] + k_2[TsD] + s_{sD} - d_{sD}[sD] }[/math]
- [math]\displaystyle{ \dot{TsD} = k_1[T][sD] - (k_2+k_3)[TsD] - d_{TsD}[TsD] }[/math]
- [math]\displaystyle{ \dot{D} = k_3[TsD] - d_D[D] }[/math]
These four equations were implemented in Matlab, using a built-in function (ode45) which solves ordinary differential equations.
Implementation in TinkerCell
Another approach to model the amplification module would be to implement it in a program such as TinkerCell (or CellDesigner). This would be useful to check whether the Matlab model works.
Model B: Activation of Dioxygenase by TEV or activated split TEV enzyme
This version includes the following features:
- 2 amplification steps (TEV and split TEV)
- Split TEV is specified to have a and b parts
- TEVa is forbidden to interact with TEVa (though in reality there could be some affinity between the two). Same for the interaction between Tevb and Tevb
- Both TEV and TEVs are allowed to activate dioxygenase
- Dioxygenase is assumed to be active as a monomer
- Activate split TEV (TEVs) is not allowed to activate sTEVa or sTEVb (this kind of interaction is accounted for in the next model version)
- This model does not include any specific terms for time delays
- Here is the Matlab code for Model B.
Model C: Further improvement
This model has not been implemented because of the results from Models A and B.
This version adds the following features:
- activated split TEV (TEVs) is allowed to activate not only sD but sTEVa and sTEVb
Results
The first results that were obtained seemed to be flawed since they indicated negative concentrations would be obtained from the amplification step. In particular, for concentrations smaller than [math]\displaystyle{ 10^{-4} mol/dm^3 }[/math] the results were inconclusive since they were oscillating around zero. We realised that this could be due to the ode-solver that we were using (ode45 in Matlab).
Trying to correct this problem with the ode-solver, the following precuations were implemented:
- NonNegative function in Matlab preventing solver from reaching negative values - still some marginally negative values show
- Scaling - all the values were scaled up by a factor of [math]\displaystyle{ 10^6 }[/math] as working on small numbers could be problematic for Matlab. Once the result is generated by the solver the resulting matrix is scaled back down by [math]\displaystyle{ 10^6 }[/math].
When we entered the real production and degradation rates into our model, we once again obtained nagetive values. This was due to our set of differential equations being stiff. Since ode45 cannot solve stiff differential equations, we had to switch to using ode15s - an ode-solver designed to handle stiff equations.
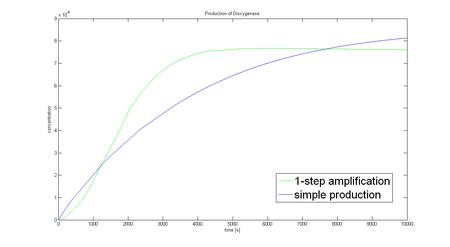
Model pre-A
This is the result of the simulation of simple production of Dioxygenase. It can be seen that the concentration will tend towards a final value of approximately [math]\displaystyle{ 8*10^{-6} mol/dm^3 }[/math]. This final value is dependent on the production rate (which has been estimated for all of the models).

Model A
- Initial Concentration
The initial concentration of split Dioxygenase, [math]\displaystyle{ c_0 }[/math], determines whether the system is amplifying. The minimum concentration for any amplification to happen is [math]\displaystyle{ 10^{-5} mol/dm^3 }[/math]. If the initial concentration of split Dioxygenase is higher, then the final concentration of Dioxygenase will be higher as well (see graphs below). Note that the obtained threshold value is higher than the maximum value that can be generated in the cell according to Model pre-A.

- Changing [math]\displaystyle{ K_m }[/math]:
[math]\displaystyle{ K_m }[/math] is indirectly proportional to the "final concentration" (which is the concentration at the end of the simulation), i.e. the bigger the value of [math]\displaystyle{ K_m }[/math], the smaller the "final concentration" will be. Different [math]\displaystyle{ K_m }[/math] values determine how quickly the amplification will take place.
(Also, it was found that the absolute value of [math]\displaystyle{ k_1 }[/math] and [math]\displaystyle{ k_2 }[/math] entered into Matlab does not change the outcome as long as the ratio between them ([math]\displaystyle{ K_m }[/math]≈[math]\displaystyle{ k_2/k_1 }[/math]) is kept constant. This is important when simulating (in case entering very high values for [math]\displaystyle{ k_1 }[/math] and [math]\displaystyle{ k_2 }[/math] slows down the simulation).
- Changing [math]\displaystyle{ k_{cat} }[/math]
If [math]\displaystyle{ k_{cat} = k_3 }[/math] is increased, the model predicts that the dioxygenase concentration will rise quicker and to higher values. This indicates that [math]\displaystyle{ k_3 }[/math] is the slowest step in the enzymatic reaction.
- Changing production rate
At the moment, our biggest source of error could be the production rate, which we could not obtain from literature. Hence, we had to estimate the value of the production rate (see variables). We hope to be able to take a measurement of this value in the lab as it has a big effect on model's behaviour.
Sensitivity of Model A (20/08/2010)
We want to determine how our system reacts if different parameters are changed. This is to find out which parameters our system is very sensitive to.
| Parameter | Sensitivity |
|---|---|
| Initial concentration of split Dioxygenase | Change of one order of magnitude in the initial concentration, [math]\displaystyle{ c_0 }[/math], gives change of one order of magnitude in the output concentration (range: [math]\displaystyle{ 1\gt c_0\gt 10^{-5} }[/math]). Sensitivity is lost for extremely high or low values. |
| [math]\displaystyle{ K_m }[/math] | Change of one order of magnitude results in change of output concentration by one order of magnitude ([math]\displaystyle{ 0.01\lt K_m\lt 100 }[/math]). At values smaller than 0.01, the sensitivity is affected. For higher values than 100 the sensitivity is slightly higher than the change of order of magnitude. |
| [math]\displaystyle{ k_{cat} }[/math] | [math]\displaystyle{ k_{cat} }[/math] is proportional to dioxygenase production (1-to-1 sensitivity for all values) for an initial concentration of [math]\displaystyle{ 0.01 mol/dm^3 }[/math]. For very high initial concentrations, the system is very sensitive to changes in [math]\displaystyle{ k_{cat} }[/math]. |
| Production rate of TEV | 1-1 sensitivity for most values. At some point the system’s response is limited by the initial concentration of sD, so for very high TEV production rates not much change is observed. |
| Production rate of split Dioxygenase | Not much influence on 1-step amplification. However, the value seems to be crucial for simple production of Dioxygenase (1-1 order of magnitude sensitivity). |
| Degradation rates | Sensitive within the relevant range. Not very sensitive for values smaller than [math]\displaystyle{ 10^{-6} }[/math]. For high degradation rates (1>degradation rate>0.01): unexplainable behaviour. |
Hence, the system is sensitive to most of the constants (given a particular range of values). The most crucial one, however, seems to be the initial concentration of split Dioxygenase.
Model B
- Initial Concentration
The initial concentration of split Dioxygenase, [math]\displaystyle{ c_0 }[/math], determines whether the system is amplifying.
If the initial concentration is changed, the observed behaviour is similar to the one from Model A. If the initial concentration of split Dioxygenase is increased, then the final concentration of Dioxygenase will increase as well (see graphs below).
- Model A vs. B
Running both models with the same initial conditions ([math]\displaystyle{ c_0=10^{-5} mol/dm^3 }[/math]), it has been noted that Model B does not generate a siginificant amplfication over Model A. Hence, it would be more sensible to integrate a one step amplification module into our system.

Colour response model (25/08/2010)
Initially, dioxygenase was being treated as "output" because the last reaction (catechol and dioxygenase react to form a coloured output) is common to all models. We concluded that 2-step amplification (Model B) presented little improvement over 1-step amplification (Model A). However, we realized that it is very important to add this last reaction, since it is an enzymatic reaction, hence an amplification step by itself. Adding it to all models means that Model A becomes a 2-step amplifier and Model B becomes a 3-step amplifier. Having previously drawn the conclusion that 2-step amplification is not much better than 1-step amplification, we decided to model this last step to deduce whether our initial conclusion was valid. If it was true, this would mean that our construct is not innovative at all.
The important information about the last amplification step is that the coloured compound (i.e. the product of the last enzymatic reaction) is toxic to the cells. It is suggested that product of Catechol destroys the cell membrane by inhibiting lipid peroxidation. It causes significant changes in the structure and functioning of membrane components (e.g. disruption of membrane potential, removal of lipids and proteins, loss of magnesium and calcium ions). These effects cause the loss of membrane functions, leading to cell death.
Since the product of Catechol acts on the cell membrane, it might not affect our enzymatic reaction immediately. In our simulation, we will try to model immediate cell death as well as neglecting the effect that the coloured output has on the cell. Comparing these two models will show if there are significant differences in the results.
Important Articles:
- Toxicity of three phenolic compounds and their mixtures on the gram-positive bacteria Bacillus subtilis in the aquatic environment[1]
- Toxic Effects of Catechol and 4-Chlorobenzoate Stresseson Bacterial Cells[2]
Initial conclusions(26/08/2010)
Despite our model not working entirely correctly (some negative concentrations were obtained), it was possible to deduce several points.
- The images presented below show cathecol being added at 3 different points in time. Cross-section refers to a point in time at which concentration of dioxygenase in the amplified systems crosses the concentration of the non-amplified system. From these graphs it can be seen that the output amplification is only visible after the cross-section has been reached. Note that these simulations were run for 1M solutions of catechol (which is quite high). This allows to see the differences between various amplification models easily.
- We noticed that amplification is only benefical if the initial concentration of catechol is quite high (>0.01M). For smaller concentrations of catechol, the dioxygenase conetration in different systems do not seem to be crucial for the speed of response (no difference between all 3 models). Hence, for small catechol concentrations the amplified systems are redundant (dioxygenase is overproduced) as concnetration of dioxygenase from simple production seems to be high enough to convert catechol almost instantenously. Amplification models become useful when there is a lot of substrate present to act on (ie. high concentration of catechol). Therefore, we need to determine the threshold value of coloured output for visibility. It will be a crucial factor in deciding whether the amplifiers designed by our team obtain the response faster than by simple production.
Problems with the simulation
Once we have implemented the colour change into the models, we noticed that there are some inconclusive results. After adding catechol, some concentrations were reaching negative values. We checked our equations and constants but could not find a mistake. Hence, we concluded that there must be something wrong with the way that MatLab evaluates the equation or deals with the numbers. The problem seems to originate from the very rapid concentration change of catechol which disrupts the whole system.
Prospective solutions
- Implementation in TinkerCell (31/08/2010)
We hoped that TinkerCell imposes non-negative conditions on its solutions. Hence, we implemented the whole amplification model (including coloured output) in TinkerCell. However, we realized that TinkerCell does not deal well with very high or low numbers (For example, values higher than [math]\displaystyle{ 10^5 }[/math] are not acceptable - this is important since our rate constants ([math]\displaystyle{ k_1 }[/math]) are usually bigger than [math]\displaystyle{ 10^5 }[/math]. Also, the low degradation rates ([math]\displaystyle{ 10^{-9} }[/math]) result in a zero output line). However, TinkerCell can still be used for testing that our Matlab programs behave the way we anticipated (by using default values of 1), as well as producing nice diagrams of our system.
- Varying ODE solver options in MatLab (31/08/2010)
We had a close look at the ODE solver options in MatLab. However, we were already using the one that produced the most reasonable results (ode15s). We found that decreasing Relative and Aboslute tolerances (to values as small as [math]\displaystyle{ 10^{-15} }[/math]) significantly improved the simulation. However, this is not an ultimate solution as in the simulations negative numbers still appear (order of [math]\displaystyle{ 10^{-15} }[/math]). We decided that such small negative concentrations were acceptable. We also decided that the point of interest lies between the first 100 to 150 seconds after adding catechol, while concentrations hit the negatve values at much higher time values.
The images below show the influence of the relative and absolute tolerance values on the model. Note that it was important to allow the ode-olver to adjust the time step automatically, as big time steps (1 second) were generating wrong answers for the catechol model. Adjusting time steps manually to very small values was not efficient (the whole simulation does not require very high definition simluation).
- Using SimBiology to model (31/08/2010)
We hoped that SimBiology could be more suited for our modelling than using ode-solvers, so we implemented our models into SimBiology. This package offers an interactive user interface similar to Tinker Cell, but uses MatLab to simulate. Initially, we confirmed that our simple production model (Model PreA) and 1-step amplification model (Model A) implemented in SimBiology generated exactly the same results as our ODE equation based models. The interface allowed us to have clearer control over paramters. It also allowed modelling special events, for example, adding catechol at certain point in time. Previously we had to split simulation into to two parts.
Final Conclusions (31/08/2010)
- Changing time when catechol is added
If Catechol is added before t= 1000s, then the coloured output will reach its threshold value faster by simple production. If Catechol is added when t>1000s, then the coloured output will increase (marginally) faster through the amplification step in Model A. There does not seem to be a significant difference between the two models (Model preA and Model A). These observations are true for intial concentration of dioxygenase equal to [math]\displaystyle{ 10^{-5}mol/dm^3 }[/math]. However, we noticed that if the initial concentration is raised to [math]\displaystyle{ 10^{-4}mol/dm^3 }[/math], then Model A can be more beneficial than Model preA after only 100 seconds.
Hence, the question arises whether the concentration of protein in the cell can be as high as [math]\displaystyle{ 10^{-4}mol/dm^3 }[/math]. Our simple production model predicted that the concentration of protein could not reach such a high value. However, we decided to research more on ribosomal concentrations in bacteria to determine whether it is possible to establish such a high concentration in the cell.
On the website E.coli Statistics [3] it is stated that number of ribosomal proteins per cell is 900,000. In a cellular volume of order of [math]\displaystyle{ 1\mu m^3 = 10^{-15}dm^3=10^{-15}L }[/math], the above number of ribosomes converts to [math]\displaystyle{ 1.5*10^{-3}mol/L }[/math]. This means that a concentration of [math]\displaystyle{ 10^{-4}mol/dm^3 }[/math] is not completely out of scale.
- Changing concentration of catechol added
There seem to be 3 regions of catechol concentration that influence the system in different ways. These regions are: c>1M, 1M>c>0.01M, 0.01M>c. The boundaries of these regions tend to vary depending on the choice of other initial conditions. The values given above apply to boundary conditions that are currently considered to be physiologically relevant. Varying the initial concentration of catechol within the highest region does not result in any change of colour output response (It is possible that all enzymes are occupied and the solution is over saturated with catechol). In the middle region the catechol concentration influences the amplfication. Amplification decreased when the concentration tends towards 0.01M. When this region is entered, there is no difference in output production by the two models.
- Cell death
The coloured product of catechol kills cells by destroying the cell membrane. However, we do not know how quickly the cells will die. Therefore, we examined two different cases: immediate cell death and negligible cell death (i.e. cells death is negligible because it takes too long)
Running the simluation in Matlab (not Simbiology!), our conclusions are:
- Immediate cell death slows down production of coloured output. Depending on the threshold concentration this can delay the detectable response by a few minutes.
- If Catechol is added before t=1000s, then cell death slows down the response considerably.
- In case of cells being modelled as alive, the difference between the amplified and the simple production model is smaller than it is in case of cell death.
Since it appears that the time of cell death is important, we decided to discuss this issue with Wolf and Harriet. Referring to this paper (1) we decided that cell death induced by catechool is a very slow process (we estimate that it will take a few hours) in comparison to the time scale that we are interested in (several seconds to minutes).
|
|
References
- Chen, H. et al (2009) Toxicity of three phenolic compounds and their mixtures on the gram-positive bacteria Bacillus subtilis in the aquatic environment. Science of the Total Environment. [Online] 408(2010), 1043-1049. Available from: http://www.sciencedirect.com/science?_ob=MImg&_imagekey=B6V78-4XXNV4Y-4-7&_cdi=5836&_user=217827&_pii=S0048969709011668&_orig=search&_coverDate=02%2F01%2F2010&_sk=995919994&view=c&wchp=dGLbVzz-zSkzk&_valck=1&md5=f8dca6227c29db659ddbeb588ad115e7&ie=/sdarticle.pdf [Accessed 6th September 2010]
- Park, S., Ko, Y. & Kim, C. (2001) Toxic Effects of Catechol and 4-Chlorobenzoate Stresses on Bacterial Cells. The Journal of Microbiology. [Online] 39(3), 206-212. Available from: http://www.msk.or.kr/jsp/downloadPDF1.jsp?fileName=393-15.pdf [Accessed 6th September 2010]
- Habibi Nazhad, B. (2008) E. coli Statistics. [Online] Available from: http://gchelpdesk.ualberta.ca/CCDB/cgi-bin/STAT_NEW.cgi [Accessed 6th September 2010]






